В Краснодаре определили ежегодный график отключений воды в различных микрорайонах города с июня по август.
К 29 мая опубликовали график отключений воды в Краснодаре по две недели в зависимости от района краевой столицы.
Отключения воды в Краснодаре
Ежегодно летом жителям многоквартирных домов на две недели отключают воду. В Краснодаре, где более тёплый климат по сравнению с другими городами страны, плановые отключения воды начинаются ещё в апреле. Практически сразу же после завершения отопительного сезона. Каждый год коммунальщики объясняют необходимость отключений подготовкой к следующему отопительному сезону. Они меняют старые трубы, ремонтируют котельные, проводят испытания надёжности системы отопления. Хотя в графиках отключений указываются обычно две недели, на практике часто бывает всё иначе. Местами отключения длятся около недели, а кому-то приходится сидеть без воды дольше заявленных двух недель. Всё зависит от состояния сетей и времени, необходимого на их ремонт.
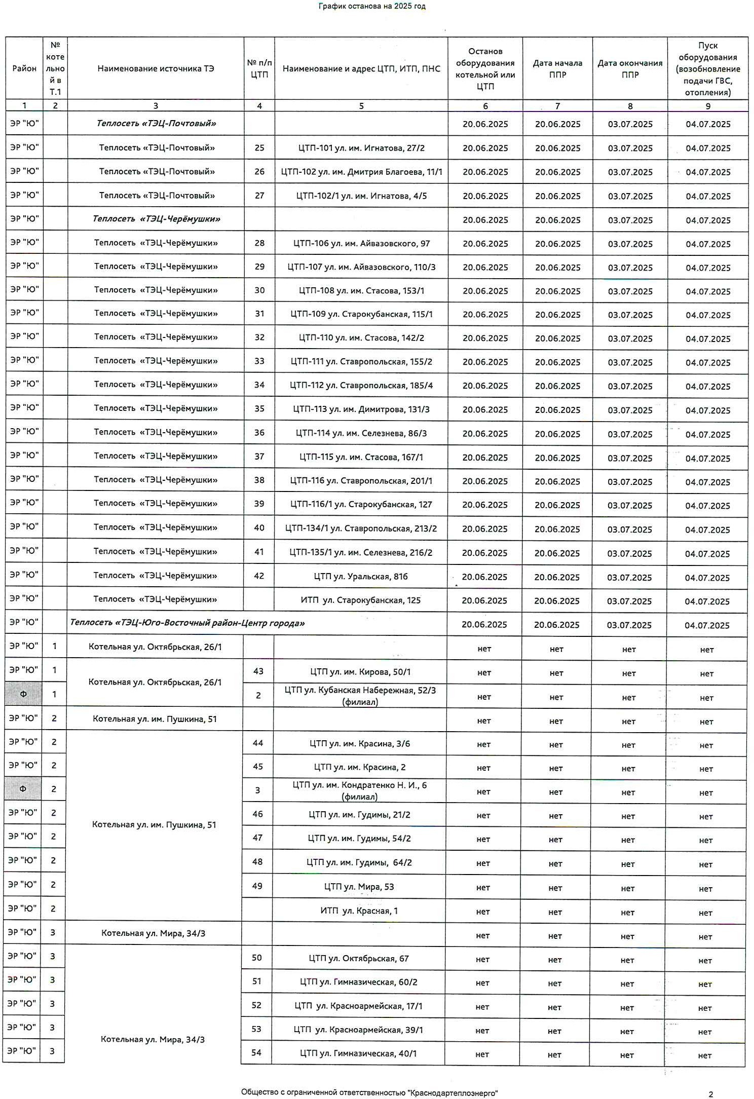
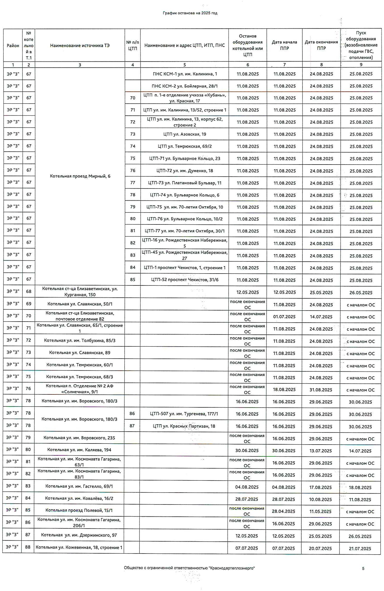
Краснодартеплоэнерго, согласно законодательству, опубликовало график отключений воды на лето 2025 года. Правда, составили его не по конкретным адресам, а по адресам котельных. То есть свой дом в списке краснодарцы не найдут. Но могут определить, когда их лишат воды по адресу ближайшей котельной. Самые массовые отключения в июне запланированы на 20 число. Хотя и сейчас в отдельных районах Краснодара продолжаются двухнедельные отключения.
График отключения воды в Краснодаре 2025
С 16 июня начнутся отключения воды на улицах Тургенева, Красных Партизан, Космонавта Гагарина, Дзержинского, Рашпилевская. С 20 июня по 3 июля перестанут работать котельные на улицах Тюляева, Сормовской, Приозёрной, Уральской, Симферопольской, имени 30-й Иркутской Дивизии, 2-й Заречной, Онежской, Молодёжной, Лавочкина, Новой. Также в списке котельные на улицах Благоева, Игнатова, Айвазовского, Стасова, Ставропольской, Старокубанской, Димитрова, Селезнева, Невкипелова, Гидростроителей. С 14 июля плановые работы пройдут в котельных на улицах Володарского, Железнодорожной, 9-го Мая. Массовые отключения пройдут и с 11 августа. Работы запланированы в котельных на улицах Бойлерная, Калинина, 1-е отделение учхоза «Кубань», Азовская, Темрюкская, Думенко, Бульварное Кольцо, Платановый Бульвар, 70-летия Октября, Рождественская набережная, проспект Чекистов. Ниже публикуем файл с полным графиком двухнедельных отключений воды в котельных Краснодара летом 2025 года.
